臭氧实验装置一站式服务平台
当前位置: 主页 > xk星空体育官网 > 臭氧知识 > Nat. Chem.:臭氧参与的烯烃双羟基化反应

Nat. Chem.:臭氧参与的烯烃双羟基化反应

来源:www.yuesaoaiwa.com 发布时间:2024-01-17 09:38:31 浏览次数:

Nat. Chem.:臭氧参与的烯烃双羟基化反应
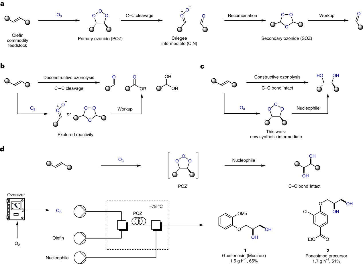
        臭氧(O3)与我们关系匪浅。平流层中,它可以吸收紫外线,起到保护人类和其他生物的作用;日常生活中,它常常用于杀菌消毒,或者除臭除味;反应器中,它又是好用的强氧化剂,广泛应用于活性药物合成及精细化工行业。对于有机化学研究者来说,O3主要用于臭氧分解(Ozonolysis)反应,可将石油原料中的烯烃有效转化为各种羰基化合物及其前体(图1a)。如图1b所示,Schreiber等人在C-C键裂解后使用添加剂进一步扩展了臭氧分解反应的应用范围,从而实现缩醛和酯类的合成以及烯烃的精制。如今,臭氧分解反应的应用范围十分广泛,其中几乎全部会涉及烯烃双键的断裂,但换一个思路,如果O3可“破”也可“立”,可断裂化学键也可构建化学键,就有望开辟化学反应性的新领域并增加合成方法中的分子复杂性。而且,利用O3作为反应试剂来实现烯烃中碳的氧化而非断裂碳碳双键,对于绿色、可持续化学来说更有意义,因为这个过程仅需要臭氧和电能就可实现(图1c)。此外,烯烃经历臭氧化后获得的初级臭氧化物(primary ozonide,POZ)中间体为探索不发生C-C键裂解条件下实现C-O键形成反应提供了新途径。
        近日,美国得克萨斯农工大学的Andy A. Thomas教授团队发展了一种安全、绿色的烯烃syn-双羟基化反应(图1d),即利用亲核试剂捕获O3与烯烃形成的POZ中间体进而生成所需的双羟基化产物。此外,将该方法与连续流反应器结合后,不仅可以消除过氧化物的积累,而且还可以制备药物相关小分子化合物,例如:Mucinex的活性成分愈创甘油醚(1)和治疗多发性硬化症的ponesimod前体(2)。相关成果发表在Nature Chemistry 上。
图1. 烯烃臭氧分解的应用。图片来源:Nat. Chem.
        尽管臭氧分解反应已被科学家研究了150多年,但其反应机理在某些方面仍尚不清楚。目前,普遍接受的Criegee机制涉及三种中间体(图1a):POZ、Criegee中间体(CIN)和二级臭氧化物(secondary ozonide,SOZ)。为了理解化学结构和反应性之间的关系,化学家对三类中间体进行了许多机理研究,特别是关于Criegee中间体和SOZs形成的见解导致其在主流合成中的应用,而POZ因其寿命和反应性导致其不能作为合成中间体。为了更好地解析烯烃臭氧分解机理,化学家对POZ进行研究,结果表明POZ是通过syn-[3+2]环加成形成,同时动力学实验表明其在低温(小于或等于-100 ℃)下具有有限的寿命,但对这些中间体的基本反应模式却研究很少。为此,作者使用低温1H NMR光谱评估了烯烃几何结构(如:trans-、末端和cis-烯烃衍生的POZ(1-3)中间体)对C-C键裂解速率的影响(图2a),结果表明POZ在合成有用的温度下具有有限的寿命(图2b)。其次,作者对POZ的化学反应性进行了考察,即POZ是否会在C-C键裂解前被亲核试剂在O-O键处捕获。当使用乙醚为溶剂于-116℃(POZ不易裂解)下进行反应以实现烯烃的syn-二羟基化时,作者发现典型的过氧化物淬灭剂(如:二甲基硫醚、三苯基膦(Ph3P)、亚磷酸三乙酯((EtO)3P)和四甲基乙二胺)产生了典型的臭氧分解产物,而异丙基溴化镁(i-PrMgBr)则能以中等至较好的产率获得双羟基化产物。
图2. POZ反应性研究。图片来源:Nat. Chem.
        在优条件下,作者对该反应的底物范围进行了考察(图3),结果显示带有吸电子和给电子基团的底物(3-5)对臭氧化或捕获步骤几乎没有影响,以良好的产率获得相应的syn-二醇。酯(6、7)也相对不受i-PrMgBr的影响,并且与POZ的反应性要比亲核加成到羰基上更有利。此外,该反应还能兼容一系列trans-烯烃(3-6)、cis-烯烃(7-11)、末端烯烃(12-16),甚至还能耐受吡啶(13)和噻吩(15)等杂环化合物。尽管cis-衍生的POZ 3不能在-116 °C被捕获,但其在-130 °C时被有效捕获并以中等产率得到二醇10。值得一提的是,该方法还可实现药物分子前体及其有价值化合物的合成,具体而言:1)捕获POZ 2以40%的产率合成辛乙二醇(17,湿润剂);2)制备其它药物相关的二醇,包括:祛痰药愈创甘油醚(1,产率:65%)和治疗多发性硬化症的ponesimod前体(2,产率:63%)。虽然这种syn-二羟基化策略对多种烯烃是可行的,但也存在一定的局限性,例如:二苯乙烯、吲哚和三取代烯烃都由于POZ的不稳定而发生典型的氧化裂解,或者发生竞争性的副氧化反应。此外,POZ在非常低的温度下被证明是可行的合成中间体,但由于其不稳定性以及安全等问题严重阻碍其在大规模反应中的应用。
图3. 底物拓展。图片来源:Nat. Chem.
        尽管臭氧分解反应广泛适用于醛、酮、酯、缩醛和syn-二醇的合成中,但该反应仅能在流动相中进行,在大规模工艺中的应用仍然十分受限。为此,作者通过设计一个连续流动反应器来捕获-78 ℃的POZ,进而有效地清除过氧化物的积累以及拓展此策略在大规模工艺中的应用。此外,通过精确控制溶液停留时间来避免连续流动体系中过氧化物的形成。如图4a所示,作者制备了O3的乙醚溶液来精确控制O3的当量,进而允许在均相溶液中形成POZ,随后在下个工艺中用i-PrMgBr进行捕获。具体而言:作者选择祛痰药愈创甘油醚1为模板底物来进行流动化学尝试并优化反应条件,结果显示在1.54 g h-1下以65%的产率获得愈创甘油醚1 (图4b)。类似地,作者还在1.7 g h-1下以51%的产率获得ponesimod前体2。值得注意的是,cis-环辛烯也可兼容流动化学体系并以63%的产率获得产物9;而cis-4-辛烯则以较低的产率(19%)得到二醇10,进一步展现出POZ在实际条件下可以作为合成前体来构建C-O键。
图4. 流动化学中的臭氧分解。图片来源:Nat. Chem.
总结
        Andy A. Thomas教授团队发展了一例安全、绿色的烯烃syn-双羟基化反应,即利用亲核试剂捕获O3与烯烃形成的POZ中间体进而生成双羟基化产物。此外,将该方法与连续流反应器结合后,不仅可以消除过氧化物的积累,而且可以制备药物相关小分子化合物。

与Nat. Chem.:臭氧参与的烯烃双羟基化反应相关的实验文章